VSM Model: Estimating Slurry Friction Loss
In slurry transport, getting a fast and reasonable estimate of pressure loss can be the difference between a good preliminary design and a costly surprise. But what happens when you’re missing a critical input—like solid particle size?
That’s where the VSM friction loss comes in. Designed for fully stratified slurry flow, the VSM model provides a conservative and practical way to estimate friction losses—even when particle size isn’t available.
What is the VSM Model?
The VSM model is a modern update to the well-known Wilson–Addie (1995) formula for friction loss in stratified slurry flows. Unlike earlier methods, the VSM model accounts for the variation of the sliding bed friction coefficient (𝜇ₛ) as it emphasizes contact-dominated flow where solids settle and slide along the pipe bed.



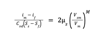
The Simplified Equation
The model is built on a force balance analysis of fully stratified flow and expressed as:

- This model applies a constant value for the stratification ratio exponent “M” which has been validated to occur in fully stratified flow conditions.
- The result gives you a high-side estimate of energy loss—great for conservative design assumptions.
Why Use VSM for Quick Estimates?
- No solid size data needed
- Good for preliminary design or early feasibility checks
- Captures worst-case scenario energy losses
- Fast way to benchmark pump and power requirements
- Validated by experimental data from large-scale pipeline tests
A Word of Caution
Keep in mind: fully stratified flow is energy-intensive. Since the VSM model accounts for significant contact between solids and the pipe bed, it tends to overestimate friction loss in less stratified or more turbulent flows. But that’s exactly what makes it useful for quick and safe upper-limit predictions.
Perfect for:
- Early-stage designs without full solids data
- Feasibility studies and cost approximations
- System retrofits where particle characteristics are uncertain
- Any case where a quick, conservative estimate is better than guesswork

Final Thoughts
If you’re staring at a slurry transport problem and missing particle size data, don’t let that stall your progress. The VSM model gives you a smart shortcut.
This correlation and more NEW slurry modelling features will be available in FluidFlow versions V3.54 and later.
For more information about this new feature, message us at [email protected].
References
R. Visintainer, V. Matousek, L. Pullum, A. Sellgren, Slurry Transport Using Centrifugal Pumps, 4th Edition, Springer Nature Switzerland AG 2023.
V. Matousek, P. Vlasak, Z. Chara, J. Konfirst, Experimental study of hydraulic transport of coarse basalt. Proceedings of the Institution of Civil Engineers – Maritime Engineering, vol. 168 (2015).
R. Visintainer, J. Furlan, G. McCall, A. Sellgren, V. Matousek, Comprehensive loop testing of a broadly graded (4 – component) slurry. 20th International Conference on Hydrotransport (Melbourne 2017).R. Visintainer, G. McCall, A. Sellgren, V. Matousek, Large scale, 4 – component settling slurry tests for validation of pipeline friction loss models. Western dredging association dredging summit and expo, (Houston 2022)
Related Articles:
Slurry Handling in Mining Operations: Overcoming Transport Challenges
Slurry Pumps – Some Considerations for Sizing and Selecting
Slurry Piping Systems in Mining & Mineral Processing Industries – FluidFlow